Scrap Sale Bill Format . Set up reminders with excel’s notification. A free sales invoice template for microsoft® excel®, suitable for organizations that are directly involved in sales and shipping of physical goods. A round up of the best invoice templates for your company or project. Also download other invoice templates with. Here is the most widely used downloadable scrap yard receipt template. Formats in word, google docs, excel, sheets, pdf. Use conditional formatting to highlight overdue invoices or pending payments. Looking for a scrap quotation format? Use vyapar's free and fully customizable sale bill formats to invoice your customers. Instantly download the receipt template in pdf, excel or word or create.
from www.scribd.com
Instantly download the receipt template in pdf, excel or word or create. Use vyapar's free and fully customizable sale bill formats to invoice your customers. Also download other invoice templates with. Use conditional formatting to highlight overdue invoices or pending payments. A free sales invoice template for microsoft® excel®, suitable for organizations that are directly involved in sales and shipping of physical goods. A round up of the best invoice templates for your company or project. Formats in word, google docs, excel, sheets, pdf. Set up reminders with excel’s notification. Looking for a scrap quotation format? Here is the most widely used downloadable scrap yard receipt template.
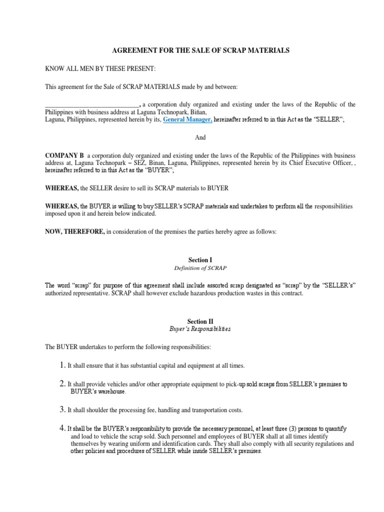
Agreement for the Sale of Scrap Scrap Payments
Scrap Sale Bill Format A round up of the best invoice templates for your company or project. Here is the most widely used downloadable scrap yard receipt template. Use conditional formatting to highlight overdue invoices or pending payments. Looking for a scrap quotation format? Use vyapar's free and fully customizable sale bill formats to invoice your customers. A free sales invoice template for microsoft® excel®, suitable for organizations that are directly involved in sales and shipping of physical goods. Instantly download the receipt template in pdf, excel or word or create. Set up reminders with excel’s notification. Formats in word, google docs, excel, sheets, pdf. Also download other invoice templates with. A round up of the best invoice templates for your company or project.
From blog.saginfotech.com
GST Rate on Sale of Scrap Materials with HSN Code Scrap Sale Bill Format A free sales invoice template for microsoft® excel®, suitable for organizations that are directly involved in sales and shipping of physical goods. Looking for a scrap quotation format? Use vyapar's free and fully customizable sale bill formats to invoice your customers. Use conditional formatting to highlight overdue invoices or pending payments. A round up of the best invoice templates for. Scrap Sale Bill Format.
From tr.pinterest.com
sale bill format sales bill format sale bill format in word Invoice Scrap Sale Bill Format A free sales invoice template for microsoft® excel®, suitable for organizations that are directly involved in sales and shipping of physical goods. Here is the most widely used downloadable scrap yard receipt template. Looking for a scrap quotation format? Instantly download the receipt template in pdf, excel or word or create. A round up of the best invoice templates for. Scrap Sale Bill Format.
From www.pinterest.com
Here we have given a proper format of GST Sales bill for Indian Scrap Sale Bill Format Also download other invoice templates with. Instantly download the receipt template in pdf, excel or word or create. Set up reminders with excel’s notification. Use conditional formatting to highlight overdue invoices or pending payments. A free sales invoice template for microsoft® excel®, suitable for organizations that are directly involved in sales and shipping of physical goods. Here is the most. Scrap Sale Bill Format.
From templates.tupuy.com
Free Invoice Template Coreldraw Printable Templates Scrap Sale Bill Format Looking for a scrap quotation format? Formats in word, google docs, excel, sheets, pdf. Instantly download the receipt template in pdf, excel or word or create. Use conditional formatting to highlight overdue invoices or pending payments. A free sales invoice template for microsoft® excel®, suitable for organizations that are directly involved in sales and shipping of physical goods. Here is. Scrap Sale Bill Format.
From www.pdffiller.com
Scrap Sale Agreement Format India Fill Online, Printable, Fillable Scrap Sale Bill Format A round up of the best invoice templates for your company or project. Looking for a scrap quotation format? Here is the most widely used downloadable scrap yard receipt template. Use vyapar's free and fully customizable sale bill formats to invoice your customers. Use conditional formatting to highlight overdue invoices or pending payments. A free sales invoice template for microsoft®. Scrap Sale Bill Format.
From templates.rjuuc.edu.np
Printable Generic Bill Of Sale Template Scrap Sale Bill Format Set up reminders with excel’s notification. Formats in word, google docs, excel, sheets, pdf. Looking for a scrap quotation format? Use conditional formatting to highlight overdue invoices or pending payments. A round up of the best invoice templates for your company or project. A free sales invoice template for microsoft® excel®, suitable for organizations that are directly involved in sales. Scrap Sale Bill Format.
From templatesowl.com
Free South Carolina Car Bill of Sale Template Fillable Forms Scrap Sale Bill Format Also download other invoice templates with. Looking for a scrap quotation format? Use vyapar's free and fully customizable sale bill formats to invoice your customers. Instantly download the receipt template in pdf, excel or word or create. Here is the most widely used downloadable scrap yard receipt template. A round up of the best invoice templates for your company or. Scrap Sale Bill Format.
From bookkeeperapp.zendesk.com
How to create an invoice/purchase with TCS? Book Keeper App Scrap Sale Bill Format Instantly download the receipt template in pdf, excel or word or create. Looking for a scrap quotation format? Formats in word, google docs, excel, sheets, pdf. Also download other invoice templates with. Use vyapar's free and fully customizable sale bill formats to invoice your customers. A round up of the best invoice templates for your company or project. Set up. Scrap Sale Bill Format.
From www.samplestemplates.org
Sales agreement template Free Formats Excel Word Scrap Sale Bill Format Use conditional formatting to highlight overdue invoices or pending payments. Use vyapar's free and fully customizable sale bill formats to invoice your customers. Formats in word, google docs, excel, sheets, pdf. A free sales invoice template for microsoft® excel®, suitable for organizations that are directly involved in sales and shipping of physical goods. A round up of the best invoice. Scrap Sale Bill Format.
From ageesw.com
Scrap Metal Point of Sale POS App Invoice Form Scrap Sale Bill Format A free sales invoice template for microsoft® excel®, suitable for organizations that are directly involved in sales and shipping of physical goods. Set up reminders with excel’s notification. Use conditional formatting to highlight overdue invoices or pending payments. A round up of the best invoice templates for your company or project. Use vyapar's free and fully customizable sale bill formats. Scrap Sale Bill Format.
From eforms.com
Free Illinois Junk Vehicle Bill of Sale VSD 658 PDF eForms Scrap Sale Bill Format A round up of the best invoice templates for your company or project. Looking for a scrap quotation format? Set up reminders with excel’s notification. Use conditional formatting to highlight overdue invoices or pending payments. Formats in word, google docs, excel, sheets, pdf. Also download other invoice templates with. Use vyapar's free and fully customizable sale bill formats to invoice. Scrap Sale Bill Format.
From templates.rjuuc.edu.np
B2B Invoice Template Scrap Sale Bill Format Instantly download the receipt template in pdf, excel or word or create. Looking for a scrap quotation format? A free sales invoice template for microsoft® excel®, suitable for organizations that are directly involved in sales and shipping of physical goods. Also download other invoice templates with. A round up of the best invoice templates for your company or project. Set. Scrap Sale Bill Format.
From www.scribd.com
Scrap Invoice PDF Scrap Sale Bill Format Looking for a scrap quotation format? Instantly download the receipt template in pdf, excel or word or create. A free sales invoice template for microsoft® excel®, suitable for organizations that are directly involved in sales and shipping of physical goods. Set up reminders with excel’s notification. Use vyapar's free and fully customizable sale bill formats to invoice your customers. A. Scrap Sale Bill Format.
From old.sermitsiaq.ag
Invoice Forms Free Printable Scrap Sale Bill Format A free sales invoice template for microsoft® excel®, suitable for organizations that are directly involved in sales and shipping of physical goods. Use conditional formatting to highlight overdue invoices or pending payments. Use vyapar's free and fully customizable sale bill formats to invoice your customers. Formats in word, google docs, excel, sheets, pdf. Set up reminders with excel’s notification. A. Scrap Sale Bill Format.
From tallysolutions.com
What is Bill of Sale & Purchase Bill Format & Examples Tally Solutions Scrap Sale Bill Format A round up of the best invoice templates for your company or project. Use vyapar's free and fully customizable sale bill formats to invoice your customers. A free sales invoice template for microsoft® excel®, suitable for organizations that are directly involved in sales and shipping of physical goods. Here is the most widely used downloadable scrap yard receipt template. Instantly. Scrap Sale Bill Format.
From iesver.weebly.com
Billing format in word iesver Scrap Sale Bill Format Use conditional formatting to highlight overdue invoices or pending payments. A round up of the best invoice templates for your company or project. Looking for a scrap quotation format? Use vyapar's free and fully customizable sale bill formats to invoice your customers. Also download other invoice templates with. Here is the most widely used downloadable scrap yard receipt template. Instantly. Scrap Sale Bill Format.
From www.printablesample.com
13 Free Sample Purchase Invoice Templates Printable Samples Scrap Sale Bill Format Instantly download the receipt template in pdf, excel or word or create. A free sales invoice template for microsoft® excel®, suitable for organizations that are directly involved in sales and shipping of physical goods. Formats in word, google docs, excel, sheets, pdf. Looking for a scrap quotation format? A round up of the best invoice templates for your company or. Scrap Sale Bill Format.
From mybillbook.in
Sales Bill Format in Word, Excel & PDF Sample Sale Bill Format Scrap Sale Bill Format Here is the most widely used downloadable scrap yard receipt template. Looking for a scrap quotation format? Also download other invoice templates with. Use conditional formatting to highlight overdue invoices or pending payments. A round up of the best invoice templates for your company or project. Use vyapar's free and fully customizable sale bill formats to invoice your customers. Set. Scrap Sale Bill Format.